Углеводы – органические вещества клетки, иначе называемые «сахаридами». В животных клетках содержание сахаридов может быть от 1% до 5%, а в некоторых растительных клетка даже достигает 90%.
Классификация углеводов

Моносахариды
Название «моносахариды» происходит от др.-греч. μόνος ‘единственный’, лат. saccharum ‘сахар’. Именно из моносахаридов составляются более сложные соединения углеводов. Моносахариды имеют следующие физические свойства: бесцветные кристаллы, легко растворимы в воде, имеют сладковатый вкус.
К моносахаридам относятся жизненно важные для всех живых организмов соединения: рибоза, дезоксирибоза, галактоза, глюкоза и фруктоза.
Рибоза входит в состав рибонуклеиновой кислоты и АТФ.
Дезоксирибоза входит в состав дезоксирибонуклеиновой кислоты.
Глюкоза является основой для таких полисахаридов как крахмал, гликоген и целлюлоза.
Галактоза – мономер лактозы, он же молочный сахар.
Фруктоза встречается даже в свободном виде в растениях, конечно же, не только в фруктах, как можно подумать из их названия. Фруктоза входит в состав сахарозы.
- Рибоза
- Дезоксирибоза
- Галактоза
- Глюкоза
- Фруктоза
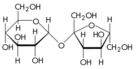
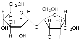
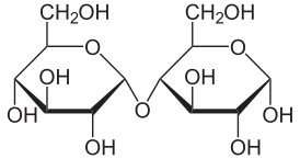
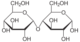
Олигосахариды и дисахариды
Олигосахариды – углеводы, которые содержат от 2 до 10 моносахаридных остатков, связанных между собой ковалентно гликозидной связью. Название группы происходит от греч. ὀλίγος — немногий. Дисахариды входят в группу олигосахаридов.
Физические свойства: большинство имеют сладковатый вкус и хорошо растворяются в воде.
Наиболее известными и распространенными из олигосахаридов являются гетеросахариды лактоза и сахароза – тростниковый сахар, а солодовый сахар – мальтоза относится к подгруппе дисахаридов.
- Сахароза
- Мальтоза
- Лактоза
Полисахариды
Полисахариды – высокомолекулярные полимеры, содержащие от нескольких сотен до нескольких тысяч моносахаридных остатков, также соединенных ковалентными гликозидными связями. Название происходит от греч. pὀλγ – много. Чем больше в полисахариде мономеров – тем менее он сладкий на вкус и менее растворим в воде.
К полисахаридам относятся следующие распространенные соединения: крахмал, гликоген, целлюлоза, хитин. Эти полисахариды очень важны для организмов. В виде крахмальных зерен углеводы запасаются в растительных клетках. Целлюлоза составляет клеточную стенку клеток растений, а хитин входит в состав покрова насекомых, ракообразных и паукообразных. Также хитин составляет клеточную стенку грибов. Гликоген служит для запасания углеводов в животных организмах. Интересен тот факт, что крахмал, гликоген и целлюлоза состоят из одинаковых моносахаридов, разница лишь в том, что они по-разному соединены. И это важно знать к экзамену, но есть хитрость, с помощью которой можно это запомнить. Соединения имеют разную степень разветвленности. Целлюлоза используется в бумажной промышленности. Представим себе просто лист бумаги, обычный прямоугольник. Структура целлюлозы не имеет никаких разветвлений. Здесь важно положить старт по разветвленности. Нулевая она как раз-таки у целлюлозы. Далее идет крахмал, о котором мы вспоминаем, так как целлюлоза и крахмал имеют отношение к растениям. И замыкает цепь наиболее разветвленный из самых известных полимеров гликоген.

Схема строения углеводов
Функции углеводов
- Энергетическая и запасающая функции
Как уже было сказано выше, в крахмальных зернах запасается энергия в растительных клетках, а в виде гликогена – в животных организмах. Кроме того, самый главный источник энергии – АТФ включает в себя моносахарид рибозу. Организм живет в первую очередь за счет потребления углеводов. При расщеплении 1 г углеводов организм получает 17,6 кДж энергии. Наибольшее количество углеводов расходуется при активном росте (относится и к растениям, и к животным), тяжелым физической, умственной и эмоциональной нагрузке.
2. Строительная функция
Хитин и целлюлоза – наиболее наглядные представители углеводов, выполняющих строительную функцию. Целлюлоза является основой для клеточной стенки растений, а хитин – для покрова членистоногих. Данные углеводы не растворяются в воде, что подтверждает правило, которое гласит: чем длиннее цепь мономеров – тем менее растворяемое в воде соединение.
3. Защитная функция
Жесткие хитиновые покровы и оболочку из целлюлозы можно считать защитными механизмами организмов. Кроме того, некоторые растения выделяют при повреждении ствола смолы, которые препятствуют попаданию болезнетворных микроорганизмов в рану, предотвращая тем самым заражения. Такие смолы называются «камедь».







