Задание №8 ЕГЭ по физике

тепловое равновесие, уравнение состояния
Первичный бал: 1 Сложность (от 1 до 3): 1 Среднее время выполнения: 1 мин.

В задании №8 ЕГЭ по физике необходимо решить задачу по теме тепловое равновесие. Кроме этого могут встретиться задания на уравнение состояния идеального газа. Ниже мы приведем краткую теорию, необходимую для решения данных заданий.

Задание EF18524

Расстояние между молекулами вещества много больше размеров самих молекул. Двигаясь во всех направлениях, молекулы быстро распределяются по всему сосуду. В каком состоянии находится вещество?

Ответ:

а) в газообразном

б) в жидком

в) в твёрдом

г) в газообразном или жидком


Алгоритм решения

  1. Выделить из описания параметры, характер которых может указывать на вид агрегатного состояния вещества.
  2. Установить, какому агрегатному состоянию соответствуют указанные значения этих параметров.

Решение

В условиях задачи обозначается:

  • расстояние между молекулами вещества;
  • характер движения молекул;
  • свойство вещества, связанное с характером заполнения им сосуда.

Если расстояние между молекулами намного больше размеров самих молекул, то вещество находится в газообразном состоянии. Это подтверждают хаотичное движение молекул и способность вещества заполнять весь предоставленный ему объем.

Ответ: а

pазбирался: Алиса Никитина | обсудить разбор

Задание EF18208

Молекулы газов находятся в среднем на больших расстояниях друг от друга по сравнению с их размерами, силы взаимодействия между ними незначительны. Этим можно объяснить следующие свойства газов.

А. Газ не сохраняет своей формы.

Б. Газ не сохраняет своего объёма.

В. Газ имеет большую сжимаемость.

Какое(-ие) из утверждений правильно(-ы)?


Алгоритм решения

  1. Установить, как влияет большое расстояние между молекулами на свойства газов.
  2. Выбрать правильные варианты ответов и записать их в алфавитном порядке.

Решение

Так как между молекулами газа большое расстояние, они слабо взаимодействуют друг с другом. Практически полное отсутствие сил притяжения позволяет двигаться им хаотически, что способствует быстрому заполнению газом объема сосуда. Причем неважно, какой объем и какую форму имеет сосуд. Следовательно, верными ответами можно считать как А, так и Б.

Теперь проверим последний вариант. Газы действительно обладают большой сжимаемостью. Это можно объяснить тем, что отталкиваются молекулы при расстояниях, которые меньше размеров самих молекул. Но в газах это расстояние намного больше. Поэтому, прежде чем возникнет отталкивание, газ можно будет легко сжать в несколько раз. Следовательно, ответ В тоже верен.

Ответ: АБВ

pазбирался: Алиса Никитина | обсудить разбор

Задание EF17560

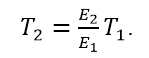
Первоначальное давление газа в сосуде равнялось р1. Увеличив объём сосуда, концентрацию молекул газа уменьшили в 3 раза, и одновременно в 2 раза увеличили среднюю энергию хаотичного движения молекул газа. В результате этого давление р2 газа в сосуде стало равным

Ответ:

а) 13..p1

б) 2p1

в) 23..p1

г) 43..p1


Алгоритм решения

1.Записать исходные данные.
2.Записать основное уравнение МКТ идеального газа.
3.Составить уравнения для состояний 1 и 2.
4.Выразить искомую величину.

Решение

Исходные данные:

 Начальное давление: p0.
 Начальная концентрация молекул: n1 = 3n.
 Конечная концентрация молекул: n2 = n.
 Начальная средняя энергия хаотичного движения молекул: Ek1 = Ek.
 Конечная средняя энергия хаотичного движения молекул: Ek2 = 2Ek.

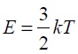
Основное уравнение МКТ:

p=23..nEk

Составим уравнения для начального и конечного состояний:

p1=23..n1Ek1=23..3nEk=2nEk

p2=23..n2Ek2=23..n2Ek=43..nEk

Отсюда:

nEk=p12..=3p24..

p2=4p16..=23..p1

.

.

Ответ: в

pазбирался: Алиса Никитина | обсудить разбор


👀 9.2k