Задание №15 ЕГЭ по физике
Первичный бал: 1 Сложность (от 1 до 3): 1 Среднее время выполнения: 1 мин.
В задании №15 ЕГЭ по физике нас ждут задачи по теме электромагнитная индукция и оптика.
Задание ЕГЭ-Ф-ДВ2023-13
Алгоритм решения:
- Записать исходные данные.
- Записать формулу для определения силы, действующей со стороны магнитного поля на движущуюся в нем заряженную частицу.
- Найти отношение модуля силы, действующей на 1 заряд, к модулю силу, действующей на второй заряд.
Решение:
Запишем исходные данные:
- Заряд первой частицы: q1 = 2q.
- Заряд второй частицы: q2 = q.
- Скорость первой частицы: υ1 = υ.
- Скорость второй частицы: υ2 = 2υ.
На заряженную частицу, движущуюся в магнитном поле, действует сила Лоренца, модуль которой равен:

Угол α — это угол между векторами скорости и магнитной индукции. Так как частицы влетают перпендикулярно векторам магнитной индукции, синус этого угла равен 1. Следовательно, применительно к данному случаю, можем применять формулу:

Сила Лоренца, действующая на частицу 1, равна:
![]()
Сила Лоренца, действующая на частицу 2, равна:
![]()
Найдем отношение первой силы ко второй:

pазбирался: Алиса Никитина | обсудить разбор
Задание ЕГЭ-Ф-ДВ2023-17
На рисунке приведён график зависимости силы тока от времени в катушке индуктивности идеального колебательного контура. Графики А и Б представляют изменения физических величин, характеризующих колебания в контуре. Установите соответствие между графиками и физическими величинами, зависимость которых от времени эти графики могут представлять. К каждой позиции первого столбца подберите соответствующую позицию из второго столбца и запишите в таблицу выбранные цифры под соответствующими буквами.

Алгоритм решения:
Решение:
Индуктивность — физическая величина, численно равная ЭДС самоиндукции, возникающей в контуре при изменении силы тока в нем на 1 Ампер за 1 секунду. Чем больше индуктивность и чем больше частота приложенного напряжения, тем меньше амплитуда силы переменного тока. Следовательно, между индуктивностью и силой переменного тока существует обратно пропорциональная связь. Однако на представленных графиках такой зависимости не наблюдаем. Следовательно, на них не отображается зависимость индуктивности катушки от времени.
Напряжение на обкладках конденсатора определяется формулой:
![]()
А сила тока изменяется по закону:

Следовательно, колебания напряжения опаздывают от колебаний силы тока на π/2. Поэтому, когда сила тока максимальна, напряжение равно нулю. Именно это мы наблюдаем на графике Б. Следовательно, цифре Б соответствует цифра 2.
Энергия электрического поля конденсатора определяется формулой:

Следовательно, энергия электрического поля от времени зависит так же, как от него зависит квадрат напряжения. Однако оставшийся график (А) не подходит под это описание.
Энергия магнитного поля катушки определяется формулой:

Следовательно, энергия магнитного поля от времени зависит так же, как от него зависит квадрат силы тока. Под это описание подходит график А. Следовательно, графику А соответствует цифра 4.
Правильная последовательность цифр в ответе — 42.
Ответ: 42pазбирался: Алиса Никитина | обсудить разбор
Задание EF18285
Линии индукции однородного магнитного поля пронизывают рамку площадью 0,5 м2 под углом 30° к её поверхности, создавая магнитный поток, равный 0,2 Вб. Чему равен модуль вектора индукции магнитного поля?
Ответ:
а) 0,2 Тл
б) 0,4 Тл
в) 0,8 Тл
г) 0,16 Тл
Алгоритм решения
Решение
Запишем исходные данные:
Запишем формулу для определения потока магнитной индукции:
Φ=BScosα
Так как в условиях задачи указан угол между вектором магнитной индукции и плоскостью рамки, то угол между нормалью и плоскостью рамки будет равен α=90°−β.
Выразим модуль вектора индукции магнитного поля:
B=ΦScos(90−β)=0,20,5·cos(90°−30°)=0,40,5=0,8 (Тл)
Ответ: вpазбирался: Алиса Никитина | обсудить разбор
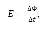
Задание EF17970
При вращении в однородном магнитном поле плоскости металлического кольца из тонкой проволоки вокруг оси, перпендикулярной линиям поля, максимальная сила индукционного тока, возникающего в кольце, равна I1. Чему будет равна максимальная сила индукционного тока I2 в этом кольце при уменьшении скорости вращения кольца в 2 раза?
Ответ:
а) I2 = 2I1
б) I2 = I1
в) I2 = 0,5I1
г) I2 = 4I1
Алгоритм решения
Решение
Запишем формулу закона электромагнитной индукции:
εi=∣∣∣ΔΦΔt∣∣∣
Известно, что отношение изменения магнитного потока ко времени его изменения — это величина, характеризующая скорость этого изменения. Если кольцо в однородном магнитном поле вращать медленнее, то и магнитный поток начнет менять медленнее. Так как ЭДС индукции прямо пропорционально зависит от скорости изменения магнитного потока, то при уменьшении скорости вращения кольца в 2 раза она также уменьшится вдвое.
Также известно, что индукционный ток в рамке определяется формулой:
Ii=εiR
Видно, что индукционный ток и ЭДС индукции — прямо пропорциональные величины. Следовательно, при уменьшении ЭДС индукции вдвое сила индукционного тока тоже уменьшится в 2 раза. Отсюда следует, что I2 = 0,5I1.
Ответ: вpазбирался: Алиса Никитина | обсудить разбор
Задание EF18621
На рисунке запечатлён тот момент демонстрации по проверке правила Ленца, когда все предметы неподвижны. Южный полюс магнита находится вблизи сплошного металлического кольца. Если магнит выдвигать из алюминиевого кольца, то кольцо перемещается вслед за магнитом. Это движение кольца – результат действия
Ответ:
а) силы гравитационного взаимодействия между кольцом и магнитом
б) силы Ампера, действующей со стороны магнитного поля магнита на кольцо, по которому идёт индукционный ток
в) кулоновских (электростатических) сил, которые возникают при движении магнита относительно кольца
г) воздушных потоков, вызванных движением руки и магнита
Алгоритм решения
- Проанализировать предложенные варианты ответа.
- Установить природу взаимодействия магнита и кольца.
- Выбрать верный ответ.
Решение
Гравитационные силы между магнитом и кольцом ничтожно малы при данных массах и расстояниях, поэтому они не могли вызвать притяжения кольца к магниту.
Кулоновские силы характеризуют силу электростатического взаимодействия зарядов. Поскольку магнит не имеет заряда, между ним и кольцом такие силы не возникают.
Металлическое кольцо достаточно тяжелое для того, чтобы заставить его стремительно двигаться вслед за магнитом.
Но вариант с силой Ампера подходит, так как сила Ампера — это сила, с которой действует магнитное поле на проводник с током. В момент, когда магнит двигают в стороны от кольца, магнитный поток, пронизывающий его, меняется. Это вызывает образование в кольце индукционного тока, который также порождает магнитное поле, противодействующее магнитному полю постоянного магнита.
Ответ: бpазбирался: Алиса Никитина | обсудить разбор
Задание EF18180
Плоская рамка помещена в однородное магнитное поле, линии магнитной индукции которого перпендикулярны её плоскости. Если площадь рамки увеличить в 3 раза, а индукцию магнитного поля уменьшить в 3 раза, то магнитный поток через рамку
Ответ:
а) увеличится в 9 раз
б) не изменится
в) уменьшится в 3 раза
г) уменьшится в 9 раз
Алгоритм решения
Решение
Магнитный поток, пронизывающий площадь, ограниченную рамкой, определяется формулой:
Φ=BScosα
По условию задачи площадь рамки увеличивают в 3 раза, а индукцию магнитного поля уменьшают во столько же раз. Следовательно:
S1=3S
B1=B3
Следовательно:
Φ1=B1S1cosα=3S·B3cosα=BScosα=Φ
Следовательно, магнитный поток не изменится.
Ответ: бpазбирался: Алиса Никитина | обсудить разбор
Задание EF19000
Проволочная рамка площадью 2×10–3 м2 вращается в однородном магнитном поле вокруг оси, перпендикулярной вектору магнитной индукции. Магнитный поток, пронизывающий площадь рамки, изменяется по закону Ф=4×10–6cos10πt, где все величины выражены в СИ. Чему равен модуль магнитной индукции? Ответ выразите в мТл.
Алгоритм решения
Решение
Запишем исходные данные:
Запишем формулу для определения потока магнитной индукции:
Φ=BScosα
Выразим модуль вектора индукции магнитного поля:
B=ΦScosα
Так как рамка вращается в однородном магнитном поле, угол между нормалью, проведенной к ее плоскости, и вектором магнитной индукции постоянно меняется. Если мы примем этот угол за 0 градусов, то косинус этого угла будет равен 1. Тогда мы получим максимальное значение магнитного потока, пронизывающего рамку, и сможем вычислить модуль вектора магнитной индукции.

pазбирался: Алиса Никитина | обсудить разбор
Задание EF17636
Катушка индуктивности подключена к источнику постоянного тока. Как изменится энергия магнитного поля катушки при увеличении силы тока через катушку в 3 раза?
Ответ:
а) уменьшится в 3 раза
б) увеличится в 9 раз
в) увеличится в 3 раза
г) уменьшится в 9 раз
Алгоритм решения
Решение
Энергия магнитного поля тока определяется формулой:
WМ=LI22
Видно, что энергия магнитного поля тока прямо пропорционально зависит от квадрата силы тока в катушке. Следовательно, если сила тока увеличится втрое, то энергия магнитного поля увеличится в 32, то есть в 9 раз.
Ответ: бpазбирался: Алиса Никитина | обсудить разбор
Задание EF17566
Выберите среди приведённых примеров электромагнитное излучение с минимальной длиной волны.
Ответ:
а) рентгеновское
б) ультрафиолетовое
в) видимое
г) инфракрасное
Алгоритм решения
- Вспомнить расположение видов волн на шкале.
- Определить тип волн, имеющих самую короткую длину волны из перечисленных вариантов.
Решение
Шкала электромагнитных волн классифицирует волны по длине или частоте волн. Чем меньше длина волны, тем выше ее частота. Наибольшей длиной волны обладают радиоволны, затем идем инфракрасное, видимое и ультрафиолетовое излучение. После — ионизирующее излучение (рентгеновское и гамма-излучение). Следовательно, наименьшей длиной волн из перечисленных вариантов обладает рентгеновское излучение.
Ответ: аpазбирался: Алиса Никитина | обсудить разбор
Задание EF17601
Какой объект, согласно классической электродинамике, не излучает электромагнитных волн?
Ответ:
а) ускоренно движущийся заряд
б) электромагнит, подключённый к генератору переменного тока
в) линия электропередачи
г) покоящийся электромагнит, подключённый к аккумулятору
Алгоритм решения
- Вспомнить основное условие возникновения электромагнитных волн.
- Проанализировать возможные источники электромагнитных волн и установить, в каком из них необходимое условие не выполняется.
Решение
Главное условие возникновения электромагнитных волн — наличие у движущегося заряда ускорения. Следовательно, ускоренно движущийся заряд излучает электромагнитные волны.
По линиям электропередачи протекает переменный ток, который периодически меняет свое направление. Следовательно, заряды внутри проводников движутся ускоренно, ведь для того, чтобы поменялась скорость (по модулю и направлению), необходимо наличие ускорения. Следовательно, линии электропередач тоже излучают электромагнитные волны. По этой же причине электромагнит, подключённый к генератору переменного тока, также излучает волны.
Покоящийся электромагнит, подключённый к аккумулятору, не может излучать электромагнитные волны. Аккумулятор — источник постоянного тока. Поэтому заряды движутся с постоянной скоростью (без ускорения), и сам электромагнит покоится (не имеет ускорения).
Ответ: гpазбирался: Алиса Никитина | обсудить разбор
Задание EF22688
Энергия магнитного поля катушки с током равна 0,64 Дж. Индуктивность катушки равна 20 мГн. Какова сила тока в катушке?
Алгоритм решения
Решение
Запишем исходные данные:
- Индуктивность катушки: L = 20 мГн.
- Энергия магнитного поля катушки с током: WM = 0,64 Дж.
20 мГн = 0,02 Гн
- Формула для нахождения энергии магнитного поля тока:
WМ=LI22
Отсюда сила тока равна:
I=√2WМL=√2·0,640,02=8 ⎛⎝А⎞⎠
Ответ: 8pазбирался: Алиса Никитина | обсудить разбор
Задание EF17496
В электромагнитной волне, распространяющейся со скоростью →v, происходят колебания векторов напряжённости электрического поля →E и индукции магнитного поля →B. При этих колебаниях векторы →v, →E, →B. имеют взаимную ориентацию:
Ответ:
а) →B∥∥→E, →B∥∥→v, →E∥∥→v
б) →B⊥→E, →B∥∥→v, →E⊥→v
в) →B⊥→E, →B⊥→v, →E∥∥→v
г) →B⊥→E, →B⊥→v, →E⊥→v
Алгоритм решения
Решение
Электромагнитная волна представляет собой распространяющиеся с течением времени в пространстве электромагнитные колебания, характеризующиеся периодическим изменением в точках пространства вектора напряженности →E и вектора магнитной индукции →B. Эти векторы лежат и изменяются во взаимно перпендикулярных плоскостях. Поэтому вектора напряженности →E и вектор магнитной индукции →B перпендикулярны (→B⊥→E).
Электромагнитная волна — поперечная волна. Это значит, что векторы периодически меняющихся величин расположены перпендикулярно направлению распространения волны. Направление волны определяется направлением вектора ее скорости. Следовательно, вектор напряженности →E и вектор магнитной индукции →B перпендикулярны вектору скорости распространения волны (→B⊥→v, →E∥∥→v).
Ответ: г
pазбирался: Алиса Никитина | обсудить разбор
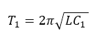
Задание EF17740
Как изменится период собственных электромагнитных колебаний в контуре (см. рисунок), если ключ К перевести из положения 1 в положение 2?
Ответ:
а) уменьшится в 4 раза
б) уменьшится в 2 раза
в) увеличится в 2 раза
г) увеличится в 4 раза
Алгоритм решения
Решение
При переключении ключа из положения 1 в положение 2 увеличится индуктивность катушки (в 4 раза). Запишем формулу Томсона:
T=2π√LC
Видно, что если индуктивность возрастет в 4 раза, то период увеличится вдвое. Это можно доказать, приняв, что L1 = L, а L2 = 4L. Тогда:
T1=2π√LC
T2=2π√4LC=2π2√LC=4π√LC
Найдем отношение второго периода к первому:
T2T1=4π√LC2π√LC=2
Отсюда:
T2=2T1
Ответ: вpазбирался: Алиса Никитина | обсудить разбор
Задание EF22720
В идеальном колебательном контуре (см. рисунок) напряжение между обкладками конденсатора меняется по закону UC = U0cos ωt, где U0 = 5 В, ω = 1000π с–1. Определите период колебаний напряжения на конденсаторе.
Алгоритм решения
Решение
Запишем исходные данные:
Запишем формулу Томсона:
T=2πω=2π1000π=21000=0,002 (с)
Ответ: 0,002pазбирался: Алиса Никитина | обсудить разбор
Задание EF18656
На рисунке приведён график зависимости силы тока i от времени t при свободных гармонических колебаниях в колебательном контуре. Каким станет период свободных колебаний в контуре, если конденсатор в этом контуре заменить на другой конденсатор, ёмкость которого в 4 раза меньше? Ответ запишите в мкс.
Алгоритм решения
Решение
Запишем исходные данные:
4 мкс = 4∙10–6 с
Запишем формулу Томсона:
T=2π√LC
Применим формулу для обоих опытов и получим:
T1=2π√L4C=4π√LC
T2=2π√LC
Поделим первый период на второй:
T1T2=4π√LC2π√LC=2
Отсюда:
T2=T12=4·10−62=2·10−6 (с)=2 (мкс)
Ответ: 2pазбирался: Алиса Никитина | обсудить разбор
Задание EF18041
На рисунке показан ход двух лучей от точечного источника света А через тонкую линзу. Какова приблизительно оптическая сила этой линзы?
Ответ:
а) 14 дптр
б) 20 дптр
в) 17 дптр
г) 33 дптр
Алгоритм решения
Решение
Оптическая сила линзы определяется формулой:
D=1F
На рисунке видно, что 5 клеток = 5 см. Следовательно, 1 клетка = 1 см. После прохождения сквозь линзу лучи света, параллельные главной оптической оси, фокусируются в главном фокусе, который лежит на этой оси. Значит, фокус находится в точке пересечения этой оси и луча. От него до линзы 3 клетки. Следовательно, фокусное расстояние равно 3 см, или 0,03 м.
Отсюда:
D=10,03≈33 (дптр)
Ответ: гpазбирался: Алиса Никитина | обсудить разбор
Задание EF18876
Какая точка является изображением точки S (см. рисунок), создаваемым тонкой собирающей линзой с фокусным расстоянием F?
Алгоритм решения
Решение
Построим изображение точки с учетом того, что линза собирающая. Для этого пустим из этой точки луч света, параллельный главной оптической оси. После прохождения через линзу луч преломится и пройдет через фокус. Затем пустим луч от этой точки через оптический центр линзы. Точка, в которой оба луча пересекутся, будет искомой. В данном случае это точка 4.

pазбирался: Алиса Никитина | обсудить разбор
Задание EF18181
Предмет S отражается в плоском зеркале ab. На каком рисунке верно показано изображение S1 этого предмета?
Ответ:

Алгоритм решения
- Записать, какое изображение дает плоское зеркало.
- Выбрать изображение, которое соответствует типу описанного изображения.
Решение
Зеркало дает мнимое изображение предмета без увеличения в зеркальном отражении. Это значит, что предмет и его изображение должны быть симметричны относительно плоскости зеркала. Симметричными являются только предмет и его изображение на последнем рисунке — Г.
Ответ: Гpазбирался: Алиса Никитина | обсудить разбор
Задание EF18076
На рисунке показан ход лучей от точечного источника света А через тонкую линзу.
Какова приблизительно оптическая сила этой линзы?
Ответ:
а) –33,3 дптр
б) 7,7 дптр
в) 25,0 дптр
г) 33,3 дптр
Алгоритм решения
Решение
Оптическая сила линзы находится по формуле:
D=1F
На рисунке видно, что 5 соответствуют 5 см. Следовательно, 1 клетка равна 1 см. После прохождения сквозь линзу лучи света, параллельные главной оптической оси, фокусируются в фокусе, который лежит на этой оси. Из рисунка видно, фокус находится в точке пересечения этой оси и луча, параллельного ей. Эту точку и линзу разделяют 3 клетки. Следовательно, фокусное расстояние равно 3 см, или 0,03 м.
Отсюда:
D=10,03≈33,3 (дптр)
Ответ: гpазбирался: Алиса Никитина | обсудить разбор
Задание EF17706
Стеклянную линзу (показатель преломления стекла nстекла = 1,54), показанную на рисунке, перенесли из воздуха (nвоздуха = 1) в воду (nводы = 1,33). Как изменились при этом фокусное расстояние и оптическая сила линзы?
Ответ:
а) Фокусное расстояние уменьшилось, оптическая сила увеличилась.
б) Фокусное расстояние увеличилось, оптическая сила уменьшилась.
в) Фокусное расстояние и оптическая сила увеличились.
г) Фокусное расстояние и оптическая сила уменьшились.
Алгоритм решения
Решение
Чтобы узнать, что произойдет с лучами света при прохождении их сквозь линзу, погруженную воду, найдем относительные показатели преломления:
nвоздух−стекло=nстеклоnвоздух=1,541=1,54
nвода−стекло=nстеклоnвода=1,541,33≈1,16
Видно, что относительный показатель преломления уменьшился. Значит, преломленный линзой луч будет менее отклоняться от нормали, проведенной в точке падения на линзу. Следовательно, чтобы достигнуть главной оптической оси, ему придется пройти большее расстояние. Это говорит о том, что фокусное расстояние линзы увеличится.
Оптическая сила линзы — величина, обратная ее фокусному расстоянию. Если оно увеличится, то оптическая сила уменьшится.
Ответ: бpазбирался: Алиса Никитина | обсудить разбор
Задание EF18593
Свет падает на горизонтальное плоское зеркало. Угол между падающим и отражённым лучами равен 60°. Каким станет угол между этими лучами, если повернуть зеркало на 20°, как показано на рисунке?
Алгоритм решения
Решение
Запишем исходные данные:
Построим рисунок с учетом того, что зеркало повернули:

Поскольку угол падения, равен углу отражения, то:
α1+β1=60°
α1=β1
2α1=60°
α1=60°2=30°
На рисунке видно, что после переворачивания зеркала угол падения α увеличился на угол переворота:
α=α1+φ=30°+20°=50°
Так как угол падения равен углу отражения, то:
α=β=50°
Отсюда угол между лучом падающим и лучом отраженным равен:
γ=α+β=50°+50°=100°
Ответ: 100
pазбирался: Алиса Никитина | обсудить разбор
Задание EF22497
Дисперсия проявляется в следующих явлениях:
А. изменение видимого цвета белой ткани при разглядывании её через цветное стекло.
Б. образование радуги при прохождении света через мелкие капли воды.
Верно(-ы) утверждение(-я):
Ответ:
- Только А
- Только Б
- И А, и Б
- Ни А, ни Б
Алгоритм решения
- Записать определение явления дисперсии света.
- Установить, какие из представленных явлений могут быть объяснены дисперсией света.
Решение
Дисперсия — зависимость показателя преломления среды от частоты световой волны. Когда мы рассматриваем белую ткань через цветное стекло, до нас доходят только те лучи, цвет которых соответствует цвету стекла. При этом все лучи преломляются одинаково, так как они имеют примерно одинаковую частоту. Но радуга — это следствие дисперсии света. Когда лучи белого света проходят сквозь капельки воды, лучи разного цвета преломляются по-разному. Поэтому на выходе лучи разлагаются в спектр — радугу.
Ответ: 2pазбирался: Алиса Никитина | обсудить разбор
Задание EF18112
Узкий пучок белого света после прохождения через стеклянную призму даёт на экране спектр. Укажите правильную последовательность цветов в спектре.
Ответ:
а) красный – жёлтый – оранжевый – синий
б) оранжевый – синий – жёлтый – зелёный
в) красный – оранжевый – жёлтый – зелёный
г) красный – жёлтый – оранжевый – зелёный
Алгоритм решения
- Вспомнить последовательность расположения цветов в спектре.
- Выбрать строку, в которой цвета располагаются в соответствующей последовательности.
Решение
Цвета в спектре легко запомнить с помощью фразы: «Каждый охотник желает знать, где сидит фазан». Первая буква слова указывает на первую буква цвета. Следовательно, цвета в спектре располагаются так: красный — оранжевый — желтый — зеленый — голубой — синий — фиолетовый. Этому расположению соответствует строка «в».
Ответ: вpазбирался: Алиса Никитина | обсудить разбор
Задание EF17533
На поверхность тонкой прозрачной плёнки падает по нормали пучок белого света. В отражённом свете плёнка окрашена в зелёный цвет. При использовании плёнки такой же толщины, но с несколько меньшим показателем преломления, её окраска будет
Ответ:
а) только зелёной
б) находиться ближе к красной области спектра
в) находиться ближе к синей области спектра
г) только полностью чёрной
Алгоритм решения
Решение
При освещении тонкой плёнки можно наблюдать интерференцию световых волн, отражённых от передней и задней поверхностей плёнки. Условием интерференционного максимума для излучения с длиной волны λ является:
kλ=2dn+Δ
Δ — либо 0, либо λ2 (это зависит от соотношения показателей преломления на границе двуз сред). Тогда при малом изменении значения показателя преломления в меньшую сторону и сохранении порядка k (как в нашем случае и есть), длина волны света будет уменьшаться. Это значит, что из зеленой части спектра она сдвинется в синюю часть.
Ответ: вpазбирался: Алиса Никитина | обсудить разбор
Задание EF17707
На две щели в экране слева падает плоская монохроматическая световая волна перпендикулярно экрану. Длина световой волны λ. Свет от щелей S1 и S2, которые можно считать когерентными синфазными источниками, достигает экрана Э. На нём наблюдается интерференционная картина. Тёмная полоса в точке А наблюдается, если
Ответ:
а) S2А – S1А = 2k⋅λ/2, где k– любое целое число
б) S2А – S1А = (2k + 1) ⋅λ/2, где k– любое целое число
в) S2А – S1А = λ/3k, где k– любое целое число
г) S2А – S1А = λ/(2k+1), где k– любое целое число
Алгоритм решения
Решение
В точке А будет наблюдаться темное пятно, если волны, достигающие этой точки, будут гасить друг друга. Это возможно при соблюдении условия минимума:
Δd=(2k+1)λ2
Разность хода в данном случае равна:
Δd=S2A−S1A
Следовательно:
S2A−S1A=(2k+1)λ2
где k — целое число.
Ответ: бpазбирался: Алиса Никитина | обсудить разбор
Задание EF17972
Точечные источники света S1 и S2 находятся близко друг от друга и создают на удалённом экране Э устойчивую интерференционную картину (см. рисунок). Это возможно, если S1 и S2 – малые отверстия в непрозрачном экране, освещённые
Ответ:
а) каждое своей лампочкой накаливания
б) каждое своей горящей свечой
в) одно зелёным лазером, другое красным
г) светом одной лампочки накаливания
Алгоритм решения
- Записать условие наблюдения интерференционной картины.
- Проанализировать источники и выбрать подходящий под условие.
Решение
Четкая интерференционная картина наблюдается только при освещении щелей когерентными лучами света, имеющими постоянную разность фаз. Когерентные — значит волнами одной частоты. Поэтому лазер зеленый и красный сразу не подходят — они имеют разные частоты.
Одна и та же частота и постоянная разность фаз будет только при условии, что щели освещаются одним источником света. В данном случае — одной и той же лампой накаливания.
Ответ: гpазбирался: Алиса Никитина | обсудить разбор
Задание EF17638
На плоскую непрозрачную пластину с узкими параллельными щелями падает по нормали плоская монохроматическая волна из красной части видимого спектра. За пластиной на параллельном ей экране наблюдается интерференционная картина, содержащая большое число полос. При переходе на монохроматический свет из синей части видимого спектра
Ответ:
а) расстояние между интерференционными полосами увеличится
б) расстояние между интерференционными полосами уменьшится
в) расстояние между интерференционными полосами не изменится
г) интерференционная картина станет невидимой для глаза
Алгоритм решения
- Записать, как зависит расстояние между интерференционными полосами от частоты световых лучей.
- Выбрать ответ, удовлетворяющий установленной зависимости.
Решение
Зависимость расстояния между интерференционными полосами от частоты световых лучей удалось установить экспериментально. Было выяснено, что чем выше частота, тем меньше расстояние между ними. Частота света из синего части спектра больше частоты из красной части спектра. Поэтому при переходе из красной части спектра в синюю часть расстояние между полосами интерференционной картины уменьшится.
Ответ: бpазбирался: Алиса Никитина | обсудить разбор
Задание EF18348
На рисунке приведены спектр поглощения неизвестного газа и спектры поглощения атомарных паров известных элементов. По виду спектров можно утверждать, что неизвестный газ содержит атомы
Ответ:
а) азота (N), магния (Mg) и другого неизвестного вещества
б) только азота (N)
в) только магния (Mg)
г) только магния (Mg) и азота (N)
Алгоритм решения
- Определить, при каком условии можно считать, что данный химический элемент входит в состав неизвестного газа.
- Сравнить спектр поглощения неизвестного газа и магния. Сделать вывод о том, присутствует ли магний в газе.
- Сравнить спектр поглощения неизвестного газа и азота. Сделать вывод о том, присутствует ли азот в газе.
- Установить, содержит ли неизвестный газ какие-либо еще элементы.
Решение
Если спектр поглощения неизвестного газа содержит все линии, которые есть на спектре известного элемента, то этот газ содержит этот элемент.
Видно, что спектр поглощения неизвестного газа включает в себя все линии, которые есть в спектре поглощения магния. Следовательно, этот газ содержит магний.
Видно, что спектр поглощения неизвестного газа включает в себя все линии, которые есть в спектре поглощения азота. Следовательно, этот газ также содержит азот.
Но кроме линий, соответствующих азоту и магнию, на спектре поглощения газа наблюдаются другие линии. Следовательно, газ содержит как минимум еще один элемент.
Ответ: а
pазбирался: Алиса Никитина | обсудить разбор
Задание EF18254
На рисунке приведены спектр поглощения разреженных атомарных паров неизвестного вещества (в середине) и спектры поглощения паров известных элементов (вверху и внизу). По анализу спектров можно утверждать, что неизвестное вещество содержит
Ответ:
а) только натрий (Na) и водород (Н)
б) только водород (Н) и гелий (Не)
в) водород (Н), гелий (Не) и натрий (Na)
г) натрий (Na), водород (H) и другие элементы, но не гелий (He)
Алгоритм решения
- Определить, при каком условии можно считать, что данный химический элемент входит в состав неизвестного газа.
- Сравнить спектр поглощения неизвестного вещества и водорода. Сделать вывод о том, присутствует ли водород в веществе.
- Сравнить спектр поглощения неизвестного вещества и гелия. Сделать вывод о том, присутствует ли гелий в веществе.
- Сравнить спектр поглощения неизвестного вещества и натрия. Сделать вывод о том, присутствует ли натрий в веществе.
- Установить, содержит ли неизвестный газ какие-либо еще элементы.
Решение
Если спектр поглощения неизвестного газа содержит все линии, которые есть на спектре известного элемента, то этот газ содержит данный элемент.
Видно, что спектр поглощения неизвестного вещества включает в себя все линии, которые есть в спектре поглощения водорода и натрия. Но линий, соответствующих спектру поглощения гелия, в нем нет. Следовательно, это вещество содержит водород, натрий, но не содержит гелий.
Кроме линий, соответствующих водороду и натрию, на спектре поглощения вещества наблюдаются другие линии. Следовательно, оно содержит как минимум еще один элемент.
Ответ: гpазбирался: Алиса Никитина | обсудить разбор
Задание EF17744
На рисунках А, Б и В приведены спектры излучения паров кальция Ca, стронция Sr и неизвестного образца.
Можно утверждать, что в неизвестном образце
Ответ:
а) не содержится стронция
б) не содержится кальция
в) содержатся кальций и ещё какие-то элементы
г) содержится только кальций
Алгоритм решения
- Определить, при каком условии можно считать, что данный химический элемент входит в состав неизвестного образца.
- Сравнить спектр излучения неизвестного образца и стронция. Сделать вывод о том, присутствует ли стронций в составе образца.
- Сравнить спектр излучения неизвестного образца и кальция. Сделать вывод о том, присутствует ли кальций в составе образца.
- Установить, содержит ли неизвестный газ какие-либо еще элементы.
- Выбрать подходящее утверждение.
Решение
Если спектр излучения неизвестного образца содержит все линии, которые есть на спектре излучения известного элемента, то этот образец содержит данный элемент.
Видно, что спектр излучения неизвестного образца включает в себя все линии, которые есть в спектре излучения стронция. Но линий, соответствующих спектру излучения кальция, в нем нет. Следовательно, этот образец не содержит кальций.
Кроме линий, соответствующих стронцию, на спектре излучения неизвестного образца наблюдаются другие линии. Следовательно, он содержит как минимум еще один элемент.
Из всех перечисленных утверждений верным является только одно — образец не содержит кальция.
Ответ: б
pазбирался: Алиса Никитина | обсудить разбор
👀 7.8k
Несколько лет пользуюсь материалами, очень толковой информацией СПАДИЛО, отправляю своим ученикам. Спасибо огромное!!!
Только с сожалением вспоминаю, как хорошо было раньше, когда после каждого Задания была кнопочка «скачать», но в последние годы она исчезла…Жаль.
Это Задание сканировала «по кусочкам» очень долго. Возможно, я просто не знаю, как правильно копировать? А материалы СПАДИЛО мне очень нужны.
Ещё раз спасибо и низкий мой поклон.
М.В.Головицына
Уважаемая М.В. Головицина! Большое спасибо за отзыв, завтра добавлю эту кнопочку, не проблема. Она исчезла на время работ и я забыл ее потом восстановить!
Если у вас есть время и желание помогать в развитии раздела по физике, напишите, обсудим!